ТОКИ В СЕТИ
Вход

Забыли пароль?

Регистрация

Карты селективности защит в программе.

Карты селективности представляют собой графики, на которых отображается время срабатывания различных устройств защиты в зависимости от тока короткого замыкания. Они разрабатываются с учетом характеристик защищаемого оборудования и позволяют определить оптимальные параметры устройств защиты.

Принцип работы: Карты селективности позволяют согласовывать работу устройств защиты таким образом, чтобы при возникновении короткого замыкания срабатывали только те устройства, которые необходимы для его отключения. Это позволяет предотвратить ложные срабатывания устройств защиты и снизить риск повреждения оборудования.

Типы карт селективности: Существует два основных типа карт селективности – однолинейные и многолинейные. Однолинейные карты применяются для координации работы однолинейных устройств защиты, а многолинейные – для координации работы нескольких линий электропередачи.


В программе сайта карты селективности можно увидеть в двух местах.

1. В настройках элемента "защита" рисуются характеристики для всех включенных защит. При изменении тапа защиты, его тока или времени характеристика перерисовываются.


Карта селективности защит в настройках защиты программы.

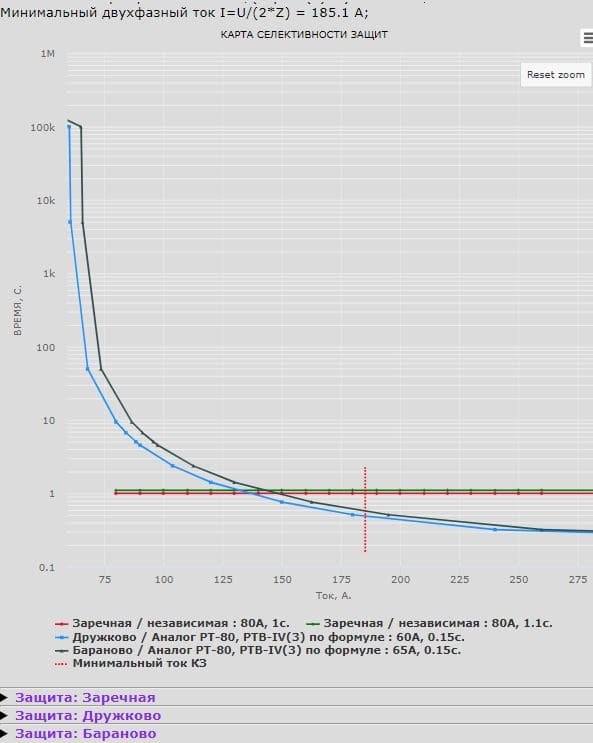
2. В протоколе расчёта тока КЗ. Рисуются все характеристики защит, которые работают для данного тока КЗ.

Красной прерывистой линией рисуется сам ток защиты.


Карта селективности защит в протоколе программы.

Программа сайта позволяет менять защиты и сразу смотреть карту селективности работу защит для тока КЗ не пересчитывая токи КЗ. Это ускоряет работу при выборе защит.


Более подробно:

Карта селективности в защите

Вызывается двойным кликом на элемент схемы "защита":

В настройках защиты нарисуется карта селективности, состоящая из 3 защит, если они включены. При включении защит, изменении типа, тока или времени карта селективности защит будет сразу-же перерисовываются.

Изначально график выводится в большом диапазоне токов, по этому непонятен:


Карта селективности защиты описание.

Сама карта селективности защит на сайте реализована в виде управляемого графика, в котором можно увеличивать область, выбрав нужный диапазон токов.

Выбрать область видимости токов производится мышкой (на компе) или на телефоне двумя пальцами. Вернуться к изначальному масштабу можно, нажав на кнопку:


Карта селективности защиты описание.

Карта селективности в протоколе расчёта тока КЗ

После расчёта токов КЗ и нажатием двойным кликом на синию точку в схеме, для которой рассчитан ток КЗ, вызывается протокол расчёта тока КЗ, в котором построится карта селективности защит РЗА для этого тока КЗ.


Точки с рассчитанным током.

В протоколе можно увидеть расчёт тока КЗ, карту селективности защит с током КЗ, анализ работы защит.

На данный момент пока реализовано построение карты селективности лдя токов КЗ с изолированной нейтралью и для тока КЗ за трансформатором по высокой стороне (сети 6-35 кВ). В сети 0.4 кВ пока карта селективности рисоваться не будет.

Маштабирование графиков производится аналогично, как в защите, но только диапазон нужно выбирать прямоугольником - не только выбрав диапазон токов, но и диапазон времени. Это позволяет более точно определить время работы для разных защит:


Карта селективности защиты описание.

Можно добится такого увеличения карты селективности, где видны времена отключения более точно:


Карта селективности защиты описание.