ТОКИ В СЕТИ
Вход

Забыли пароль?

Регистрация

Описание элементов схемы

Система переменного тока:



Представляет собой трёхфазную систему электрических цепей, в которых действуют созданные общим источником синусоидальные ЭДС частотой 50 Гц, сдвинутые друг относительно друга во времени на 2π/3 (120°) фазовый угол.

Задаётся реактансами - линейным напряжением в киловольтах и сопротивлением прямой и нулевой последовательности в омах, для разных режимов работы сети:


Максимальный режим - когда при КЗ максимальные токи, сопротивление системы минимальное. Минимальный режим - когда при КЗ минимальные токи, сопротивление системы максимальное.


Для напряжений системы 110 кВ, 0.4 кВ указывается сопротивления прямой и обратной последовательности, для сетей с изолированной нейтралью 35, 10, 6 кВ нулевую последовательности можно не заполнять. Сопротивления задаются в векторной форме R+jX, где R и X -активные и реактивные составляющие. Для расчётов данные системы для ваших схем можно узнать у таких товарищей - Россети.

Двойным кликом на систему вызывается меню:

параметры системы

В поле Имя присвойте название, оно будет отображаться на схеме. Заполните поля реактансов и сохраните данные.


Трансформаторы двухобмоточный и трёхобмоточный:

Двойным кликом на трансформатор вызывается меню:

Выбор трансформатора

В поле Имя присвойте название, оно будет отображаться на схеме. В поле Тип выбери один из трансформаторов и сохраните данные.

Если трансформатор отсутствует в списках, его можно добавить, заполнив предлагаемые поля ввода. Пример для трёхобмоточного трансформатора:

Трёхобмоточный трансформатор добавить онлайн.

После нажатия на Добавить трансформатор появится в списке трансформаторов. После этого нужно снова двойным кликом на трансформатор вызвать меню и в списке выбрать добавленный трансформатор. Расчёт параметров трансформатора выполняется по М.А. Шабад. Учитывая РПН трансформатора для максимального и минимального режимах работы сети сопротивления трансформатора отличаются. Для трансформаторов с высоковольтной обмоткой 110 кВ сопротивления трансформатора для максимального и минимального режимах работы сети рассчитываются при напряжениях 96.6 и 126 кВ соответственно. Расчётные формулы:

Формула для расчёта полного сопротивления трансформатора Формула для расчёта активного сопротивления трансформатора Формула для расчёта реактивного сопротивления трансформатора

Сопротивление (линия электропередачи, кабельная линия, провод):

У "длинного" сопротивления имеются промежуточные точки для возможности создания отпаек от линии или кабеля.

Каждое сопротивление может состоять из последовательно соединённых разных сопротивлений:

опоры ВЛ с 1 по 30 Кабель между опорами № 30 и 31 опоры ВЛ с 31 по 238 СИП-70 0.5км Алюминиевый 25 мм 3.4км2 СИП-50 37км

Содержать такое сопротивление будет:

от точкидо точкиСодержитДлина в км (м - сети до 1000 В)
130СИП-700.5
3031A3x250.09
31238СИП-503.4
Для сети выше 1000 В длина указывается в километрах, а для сети ниже 1000 В в метрах.

Пример состава сопротивления:

состав сопротивления

В поле Имя введите краткое название сопротивления, например "Линия от ПС ххх до КТП ууу 250кВА" Кнопка + добавит промежуточную точку для создания отпайки от сопротивления. После нажатия появится дополнительное окошко ввода номера точки для отпайки и в графическом виде точка появится уже на "длинном" сопротивлении.


Защита РЗиА:

Главная цель данного сайта - анализ работы защит! Каждая защита может содержать до 4 уставок защит (МТЗ или отсечка) и направление защит. Программа сначала рассчитывает все токи КЗ схемы, после этого делает анализ работы защит. Если коэффициент чувствительности защиты будет меньше 1.5 (защита не защитила наименьший ток КЗ) то программа будет искать следующую выше по вашей схеме защиту для минимального тока КЗ. Проверит её,и так далее.

Окрасит красным цветом текст тех защит, которые по каким-то критериям не гарантирует свою работоспособность - либо недостаточна чувствительность, либо трансформаторы тока не подходят, либо по вторичным релейным цепям при максимальном токе КЗ ток превысит 150А, либо ток нагрузки превышен условиям РЗА.

Расчёт чувствительности защит

В этом примере видно, что минимальный ток КЗ в конце линии 73.7 А. Для ближайшей защиты с уставкой МТЗ 80А чувствительность составит 73.7/80 = 0.92, что меньше 1.5, защита может не отключить свой выключатель. Следующая защита имеет уставку 45А и чувствительность защиты 73.7/45 = 1.64, что больше 1.5, защита гарантированно отключит свой выключатель.

Двойным кликом на защиту вызывается меню:

Параметры защиты

В поле Имя защиты присвойте название, оно будет отображаться на схеме.

В поле Ток нагрузки задайте максимальный ток нагрузки. Он будет проверятся условиям РЗА.

В поле Ксамозапуска задайте коэффициент. Согласно М.А.Шабад для сельских сетей коэффициент равен 1.2 — 1.3 при времени срабатывании не менее 0.5 с, кроме потребителей с большим количеством электродвигателей.

В поле Трансформаторы тока в фазах укажите ТТ, если они имеются (в сети 0.4кВ могут не быть).

В поле Схема соединения укажите схему соединения. Где ТТ нет, не меняйте параметр.

В поле Трансформатор тока в нуле для сети 0.4кВ укажите ТТ, если имеется. Для МТЗ в нуле . Пока не реализована в программе.. Обычно ставят в нуле силового трансформатора с схемой соединения Y/Y-0 для защиты от токов КЗ на землю, так как сопротивление нулевой последовательность этих трансформаторов велико и токи КЗ на землю малы.

Галочка левее Защита означает введение в работу защиты.

Справа от Защита нужно выбрать характеристику защиты - могут быть автоматические выключатели, независимая или иная.

В поле Уставка: Ток указываем уставку в амперах.


В поле Время для независимой характеристике указываем уставку по времени.

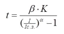
Для защит с зависимыми времятоковыми характеристиками время работы рассчитывается по формуле:

формула расчёта времени зависимых кривых РЗА

Значения коэффициентов α, β известны для характеристик:
- нормально инверсная (INV): α = 0,02; β = 0,14
- сильно инверсная (VERY): α = 1; β = 13,5
- экстремально инверсная (EXT): α = 2; β = 80
- зависимая с длительным временем (LONG): α = 1; β = 120
В этом случае значение K записываем в поле Время.


В поле U,% указываем напряжение блокировки защиты по напряжению. Пока не реализована в программе. Галочками указываем направление работы защиты 1→2 или 2→1 .

В поле Кнадёжности устанавливаем для использованной защиты (реле).

В поле Квозврата устанавливаем для использованной защиты (реле). Совсем внизу меню защиты указаны рекомендованные коэффициенты. Ниже расположена таблица, автоматически заполняемая время - токовой характеристикой выбранной защиты.

Аналогично задаются уставки для защит №2, 3, 4.


Аккумулятор:

Для расчёта токов КЗ в цепях постоянного тока. Оперативные цепи ПС в последнее время питаются от аккумуляторной батареи с подзарядным устройством. Приборы для измерения токов короткого замыкания в этих цепях мне не известны. Остаётся только полагаться на расчёты.

В поле Имя присвойте название, оно будет отображаться на схеме.

В поле Тип выберите аккумулятор.

Аккумуляторов пока немного, по возможности будут добавляться. Укажите Количество банок аккумуляторной батареи.

К примеру, соединены последовательно 18 свинцовых батарей по 12В каждая (примерно 220В), то количество банок будет: одна батарея 12В состоит из 6 банок по 2В каждая. 6 банок * 18 батарей = 108 банок.

>

Нагрузка:

Для подсчёта суммарной нагрузки.

В поле Имя присвойте название, оно будет отображаться на схеме.

Заполните поля Кратность пускового тока,

Для 3 фазной нагрузки: активную мощность и угол между I относительно U, ±(0-90),

Для нагрузке на разных фазах А,В,С соответственно P и угол,


Трансформаторная подстанция (ТП) с нагрузкой:

Подсчёт суммарой мощности ТП для расчёта отсечки защиты и суммарной нагрузки.

В поле Имя присвойте название, оно будет отображаться на схеме.

Заполните поля Мощность трансформатора, Мощность нагрузки, Угол между I относительно U, ±(0-90), Кратность пускового тока,

При расчётах программа сама суммирует мощности и нагрузки, покажет в протоколе для каждой защите.


Точка и линия связи:

Между точками элементов схемы создаются линии связи.

После расчёта токов КЗ конечные точки элементов схемы содержат информацию о токах КЗ. Двойной клик на точку создаст протокол расчёта, содержащий подробную информацию о токе короткого замыкания с формулами, пояснениями, содержанием сопротивлений до точки КЗ. Форма протокол и его содержание со временем может изменятся в связи постоянным развитием сайта.

Для создания аварийных режимов, их запоминания и возможности быстрой сборки и разборки схемы сети нужно указать возможные соединения элементов схемы. Для этого и нужны возможные (пунктирные) линии связи.

Для изменения вида связи или удаления, двойным кликом на линию связи вызовется меню линии связи. Кнопка Да/Нет изменяет вид связи.